网站客服咨询客服1
服务热线:
021-54847658

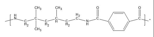
透明尼龙是一种具备特殊结构的无定型结晶聚合物,它的分子链上通常含有侧基或环结构,以此破坏分子链规整性,也就是它不会结晶,或者微结晶,从而实现良好的透明性。
常见的透明尼龙种类有 PA MACM12、PA 12/MACMI、PA 6I/X 等等。由于环状结构或侧链结构的单体选择较多,因此几乎每个牌号的透明尼龙组成都不尽相同,这里举两个品种进行说明。
图 电子烟透明尼龙结构件,阿科玛
图 透明尼龙油仓,赢创
1、赢创(Evonik)
2、阿科玛(arkema)

3、艾曼斯(EMS)
4、山东祥龙新材料股份有限公司
5、山东广垠新材料有限公司
由于透明尼龙同时具备良好的透明性、耐化学性、耐高温性等优点,所以在电子烟领域可被用作油仓、烟嘴等部件。
6、沧州临港安耐吉新材料有限公司